Официальное опубликование правовых актов
ОФИЦИАЛЬНОЕ ОПУБЛИКОВАНИЕ
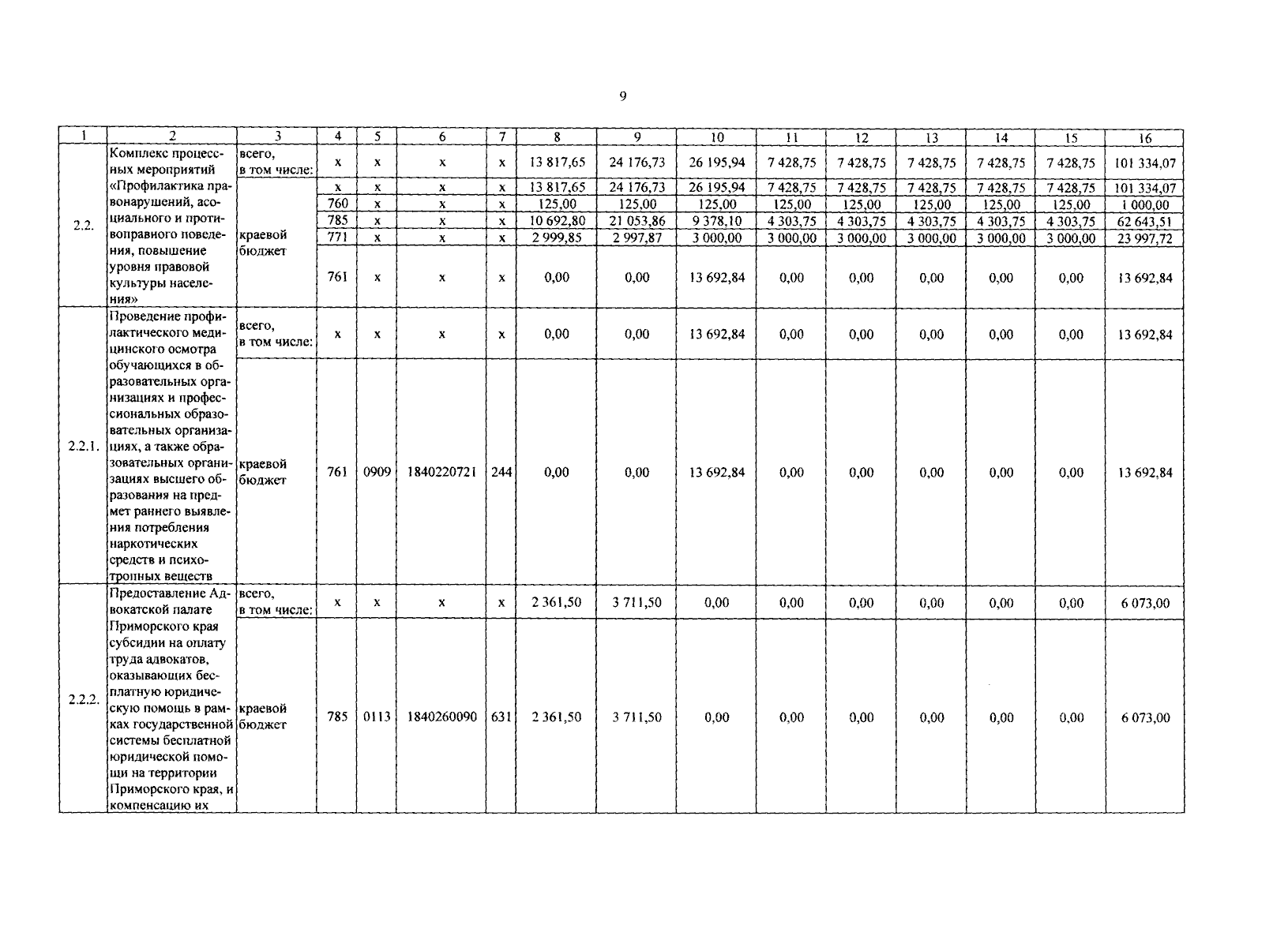
Постановление Правительства Приморского края от 27.03.2025 № 277-пп
"О внесении изменений в постановление Администрации Приморского края от 25 декабря 2019 года № 904-па "Об утверждении государственной программы Приморского края "Безопасный край"
Номер опубликования: 2501202503280002
Дата опубликования: 28.03.2025
Страница №32 из 44:
Увеличить