Официальное опубликование правовых актов
ОФИЦИАЛЬНОЕ ОПУБЛИКОВАНИЕ
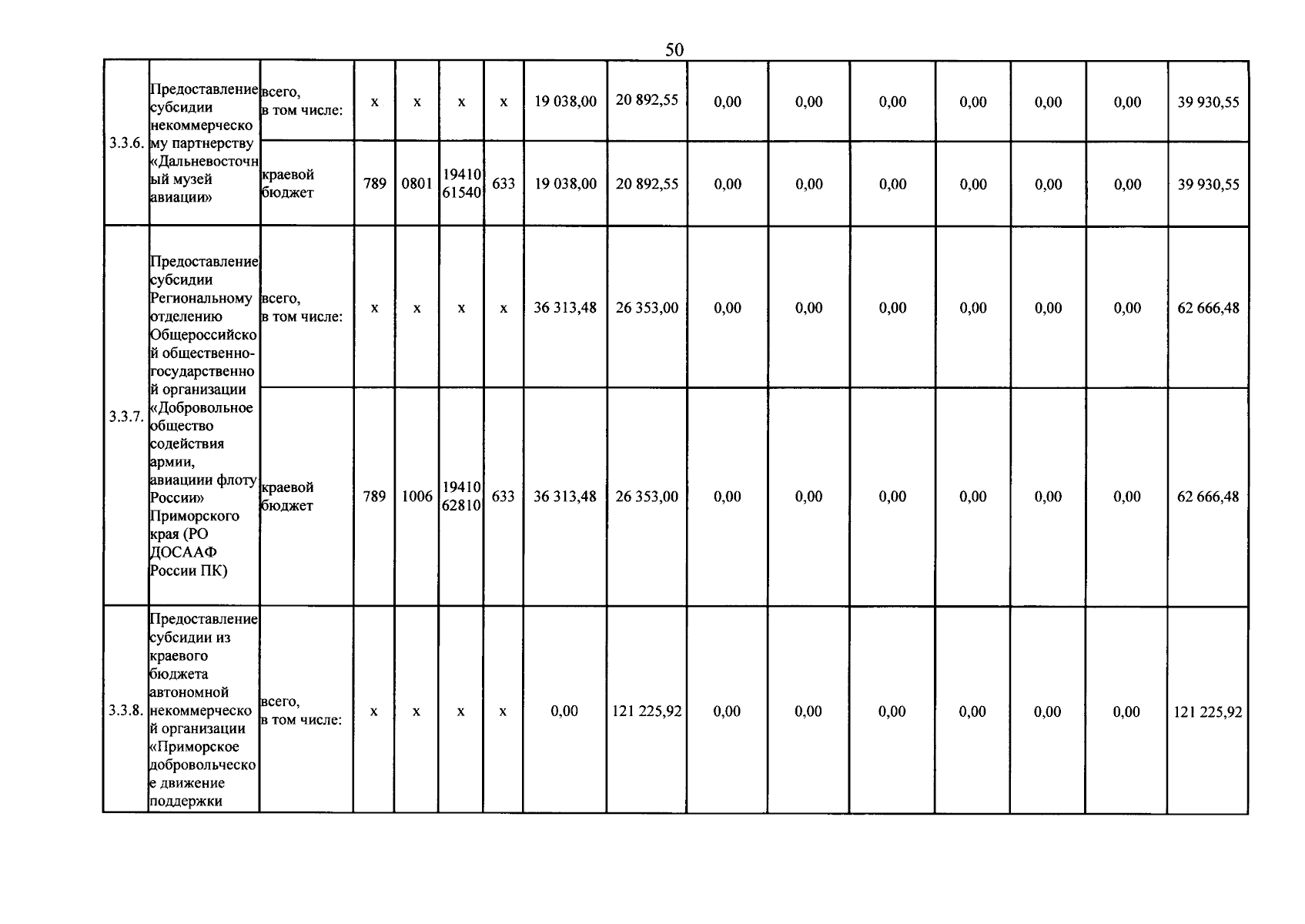
Постановление Правительства Приморского края от 25.12.2024 № 923-пп
"О внесении изменений в постановление Администрации Приморского края от 30 августа 2019 года № 564-па "Об утверждении государственной программы Приморского края "Патриотическое воспитание граждан, реализация государственной национальной политики и развитие институтов гражданского общества на территории Приморского края"
Номер опубликования: 2501202412270010
Дата опубликования: 27.12.2024
Страница №53 из 57:
Увеличить