Официальное опубликование правовых актов
ОФИЦИАЛЬНОЕ ОПУБЛИКОВАНИЕ
Постановление Агентства по тарифам Приморского края от 19.12.2024 № 59/4
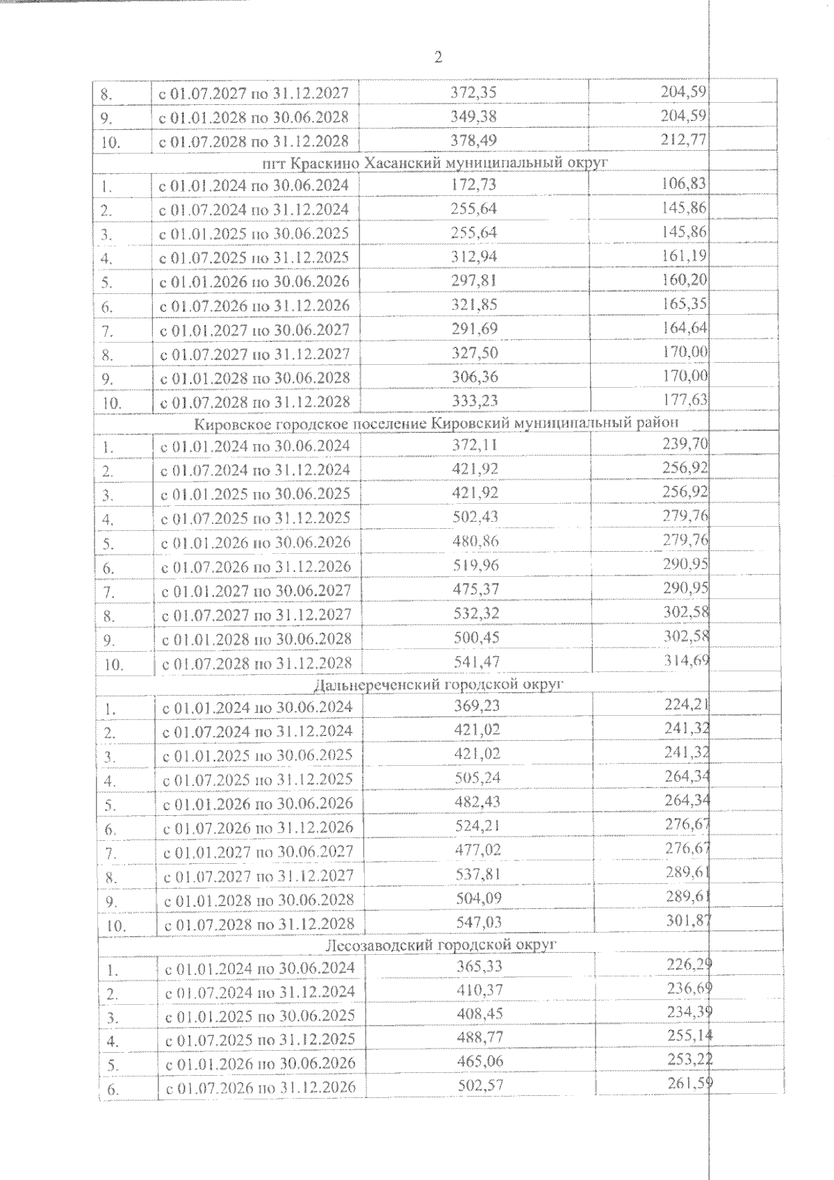
"О внесении изменений в постановление агентства по тарифам Приморского края от 20 декабря 2023 года № 71/34 "Об утверждении производственной программы и об установлении долгосрочных параметров регулирования и тарифов на горячую воду (закрытая система) для потребителей краевого государственного унитарного предприятия "Примтеплоэнерго", находящихся на территории Приморского края, на период с 2024 по 2028 годы"
(Зарегистрирован 25.12.2024 № 2025)
Номер опубликования: 2501202412260011
Дата опубликования: 26.12.2024
Страница №86 из 89:
Увеличить