Официальное опубликование правовых актов
ОФИЦИАЛЬНОЕ ОПУБЛИКОВАНИЕ
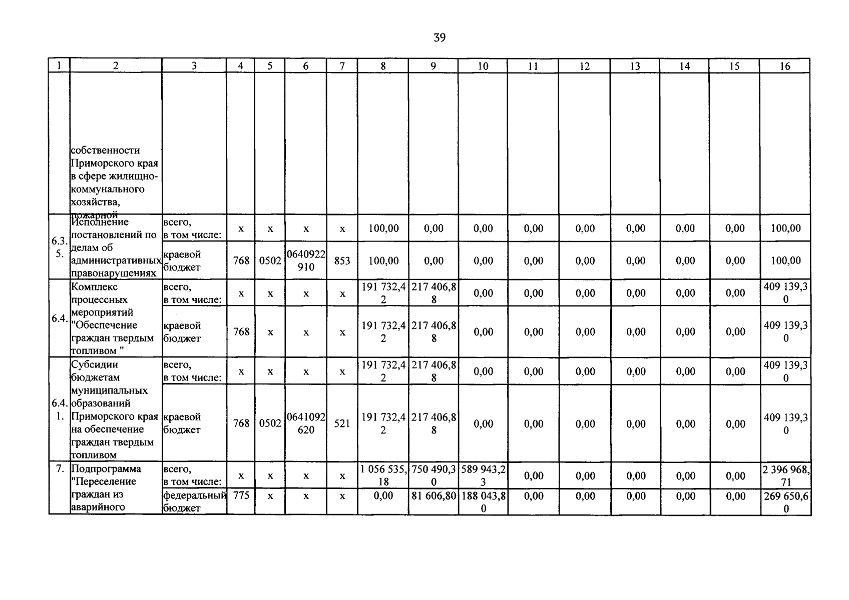
Постановление Правительства Приморского края от 20.12.2024 № 891-пп
"О внесении изменений в постановление Администрации Приморского края от 30 декабря 2019 года № 945-па "Об утверждении государственной программы Приморского края "Обеспечение доступным жильем и качественными услугами жилищно- коммунального хозяйства населения Приморского края"
Номер опубликования: 2501202412230018
Дата опубликования: 23.12.2024
Страница №95 из 112:
Увеличить