Официальное опубликование правовых актов
ОФИЦИАЛЬНОЕ ОПУБЛИКОВАНИЕ
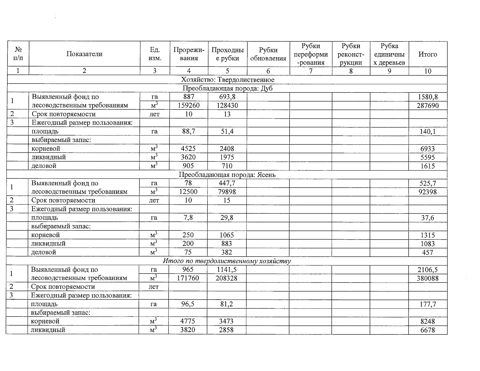
Приказ Министерства лесного хозяйства, охраны окружающей среды, животного мира и природных ресурсов Приморского края от 10.12.2024 № 1444
"О внесении изменений в лесохозяйственный регламент Спасского лесничества Приморского края, утвержденный приказом департамента лесного хозяйства Приморского края от 30.11.2018 № 1562 "Об утверждении лесохозяйственных регламентов лесничеств Приморского края"
(Зарегистрирован 13.12.2024 № 1851)
Номер опубликования: 2501202412180022
Дата опубликования: 18.12.2024
Страница №12 из 20:
Увеличить