Официальное опубликование правовых актов
ОФИЦИАЛЬНОЕ ОПУБЛИКОВАНИЕ
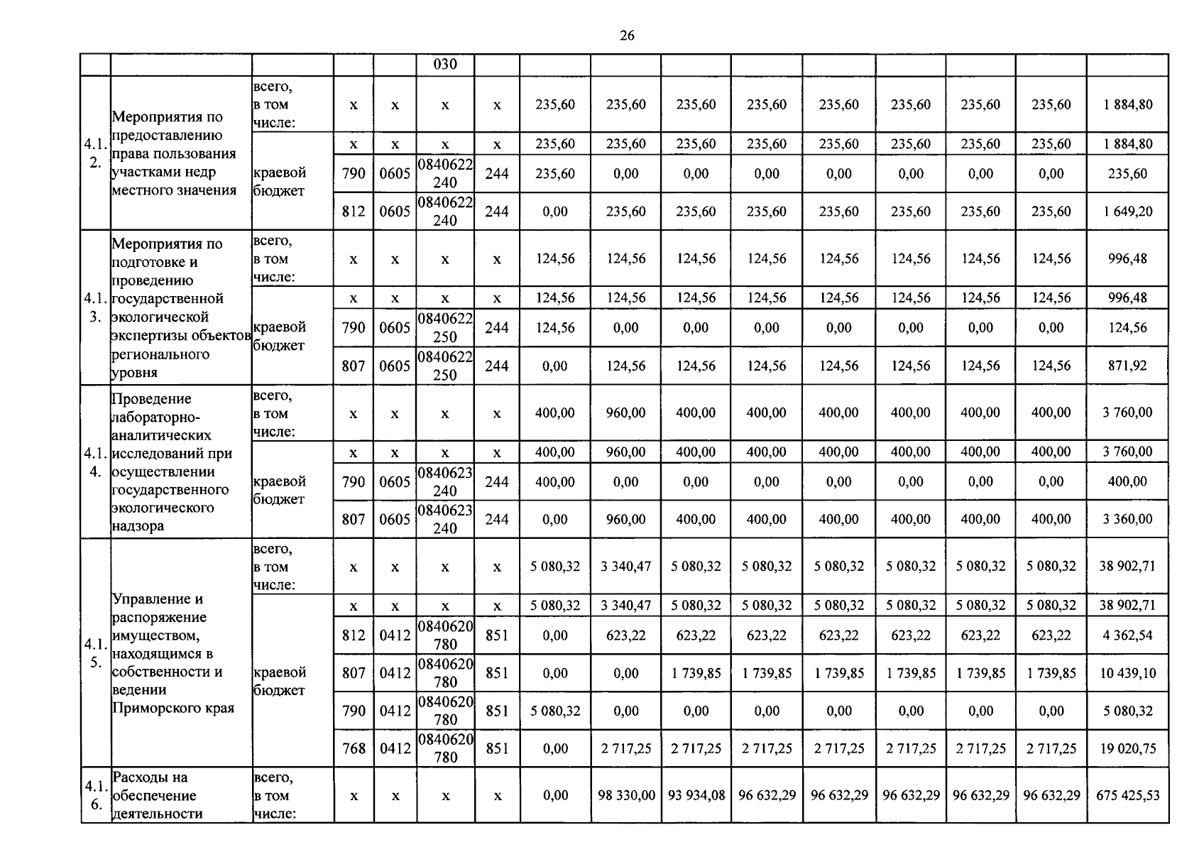
Постановление Правительства Приморского края от 19.11.2024 № 785-пп
"О внесении изменений в постановление Администрации Приморского края от 27 декабря 2019 года No 940-па "Об утверждении государственной программы Приморского края "Охрана окружающей среды Приморского края"
Номер опубликования: 2501202411200001
Дата опубликования: 20.11.2024
Страница №35 из 38:
Увеличить