Официальное опубликование правовых актов
ОФИЦИАЛЬНОЕ ОПУБЛИКОВАНИЕ
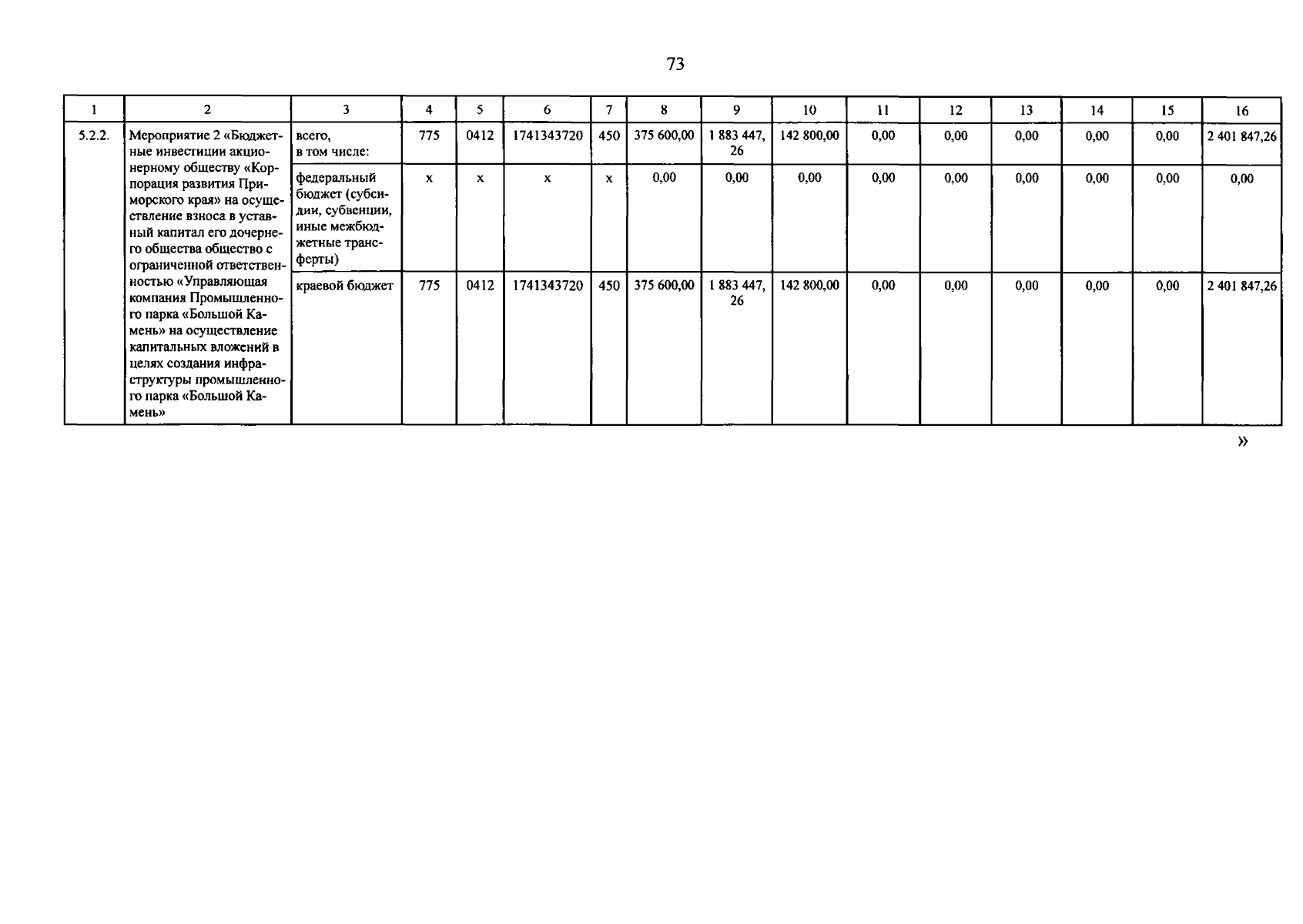
Постановление Правительства Приморского края от 07.11.2024 № 761-пп
"О внесении изменений в постановление Администрации Приморского края от 19 декабря 2019 года № 860-па "Об утверждении государственной программы Приморского края "Экономическое развитие и инновационная экономика Приморского края"
Номер опубликования: 2501202411110003
Дата опубликования: 11.11.2024
Страница №84 из 84:
Увеличить