Официальное опубликование правовых актов
ОФИЦИАЛЬНОЕ ОПУБЛИКОВАНИЕ
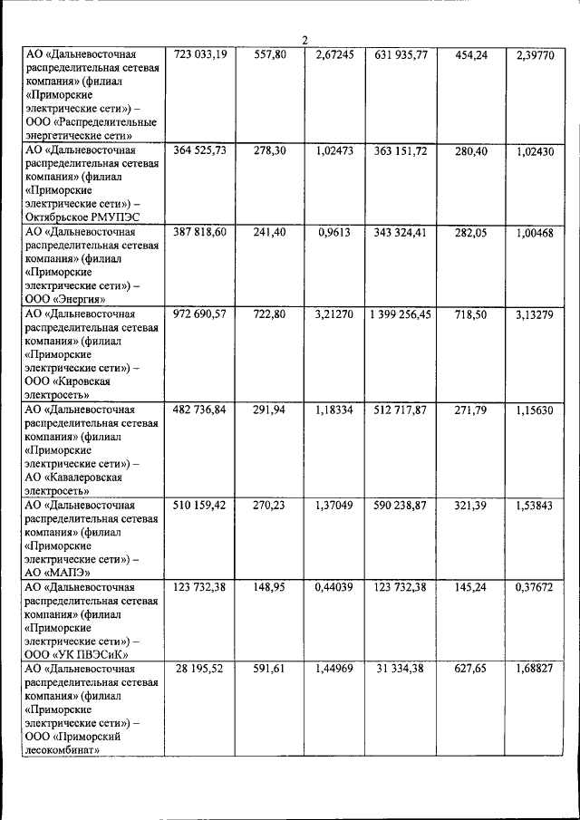
Постановление департамента по тарифам Приморского края от 27.12.2017 № 77/10
"Об установлении индивидуальных тарифов на услуги по передаче электрической энергии для взаиморасчетов между сетевыми организациями Приморского края"
Номер опубликования: 2501201712280026
Дата опубликования: 28.12.2017
Страница №3 из 9:
Увеличить