Приказ Инспекции по охране объектов культурного наследия Приморского края от 09.08.2017 № 208
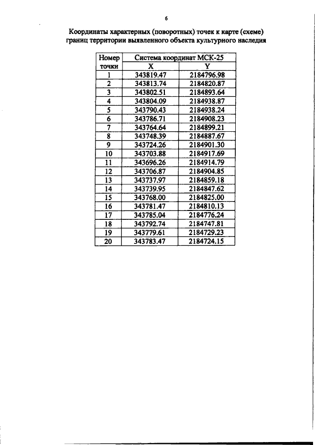
"О включении объекта археологического наследия "Открытый 1. Поселение" в перечень выявленных объектов культурного наследия Приморского края, утверждении границ территории выявленного объекта культурного наследия и особого режима использования земельного участка, в границах которого располагается объект археологического наследия"
"О включении объекта археологического наследия "Открытый 1. Поселение" в перечень выявленных объектов культурного наследия Приморского края, утверждении границ территории выявленного объекта культурного наследия и особого режима использования земельного участка, в границах которого располагается объект археологического наследия"
Номер опубликования: 2501201708170001
Дата опубликования:
17.08.2017
