Официальное опубликование правовых актов
ОФИЦИАЛЬНОЕ ОПУБЛИКОВАНИЕ
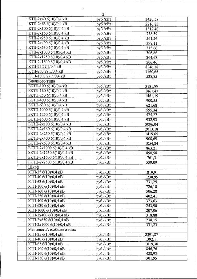
Постановление департамента по тарифам Приморского края от 27.12.2016 № 74/24
"Об утверждении ставок за единицу максимальной мощности за технологическое присоединение к электрическим сетям АО "ДРСК" (филиал "Приморские электрические сети")"
Номер опубликования: 2501201612300008
Дата опубликования: 30.12.2016
Страница №6 из 9:
Увеличить