Постановление департамента по тарифам Приморского края от 27.12.2016 № 74/10
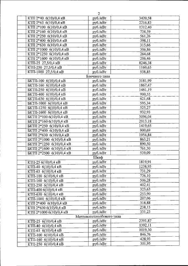
"Об утверждении ставок за единицу максимальной мощности за технологическое присоединение к электрическим сетям ООО "Территориальная энергосетевая компания"
"Об утверждении ставок за единицу максимальной мощности за технологическое присоединение к электрическим сетям ООО "Территориальная энергосетевая компания"
Номер опубликования: 2501201612290025
Дата опубликования:
29.12.2016
