Официальное опубликование правовых актов
ОФИЦИАЛЬНОЕ ОПУБЛИКОВАНИЕ
Постановление департамента по тарифам Приморского края от 27.12.2016 № 74/23
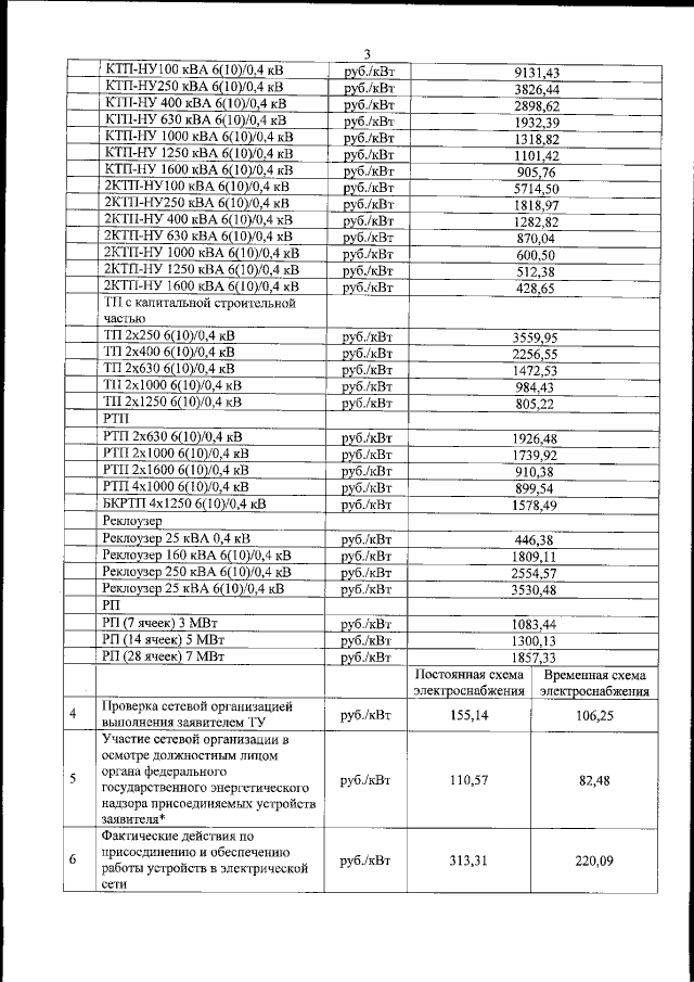
"Об утверждении ставок за единицу максимальной мощности за технологическое присоединение к электрическим сетям ООО "Энергетические сети Преображения"
Номер опубликования: 2501201612290014
Дата опубликования: 29.12.2016
Страница №7 из 9:
Увеличить