Официальное опубликование правовых актов
ОФИЦИАЛЬНОЕ ОПУБЛИКОВАНИЕ
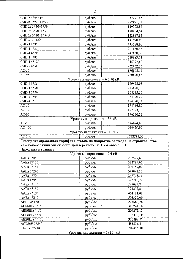
Постановление департамента по тарифам Приморского края от 27.12.2016 № 74/2
"Об утверждении единых стандартизированных тарифных ставок и формул платы за технологическое присоединение к электрическим сетям территориальных сетевых организаций Приморского края"
Номер опубликования: 2501201612290009
Дата опубликования: 29.12.2016
Страница №6 из 14:
Увеличить