Официальное опубликование правовых актов
ОФИЦИАЛЬНОЕ ОПУБЛИКОВАНИЕ
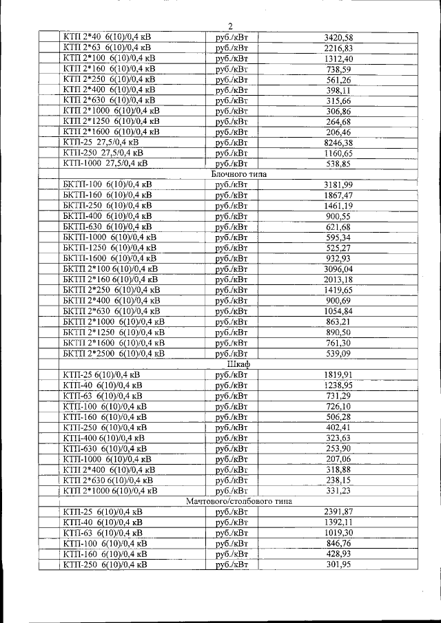
Постановление департамента по тарифам Приморского края от 27.12.2016 № 74/3
"Об утверждении ставок за единицу максимальной мощности за технологическое присоединение к электрическим сетям МУПВ "Владивостокское предприятие электрических сетей"
Номер опубликования: 2501201612290001
Дата опубликования: 29.12.2016
Страница №6 из 9:
Увеличить