Официальное опубликование правовых актов
ОФИЦИАЛЬНОЕ ОПУБЛИКОВАНИЕ
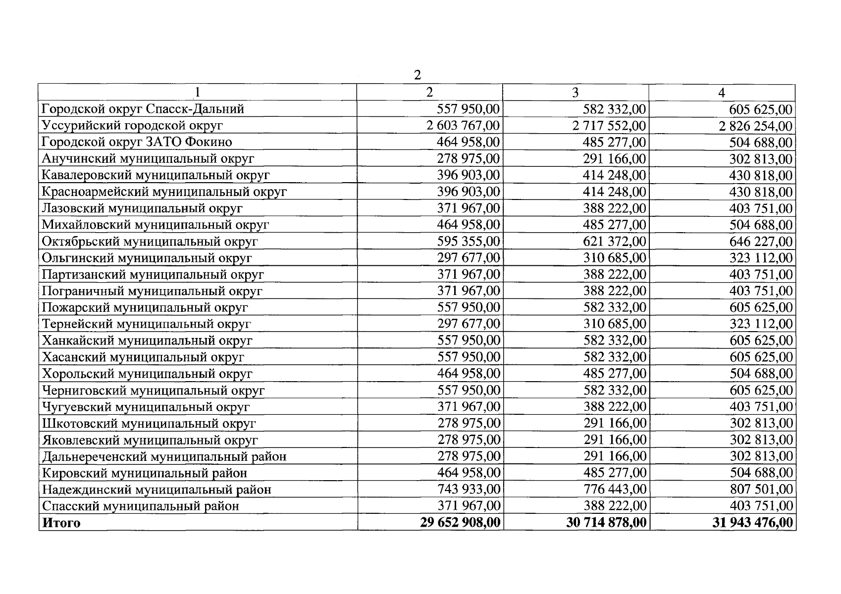
Закон Приморского края от 24.09.2025 № 855-КЗ
"О внесении изменений в Закон Приморского края "О краевом бюджете на 2025 год и плановый период 2026 и 2027 годов"
Номер опубликования: 2500202509240001
Дата опубликования: 24.09.2025
Страница №1319 из 1325:
Увеличить