Официальное опубликование правовых актов
ОФИЦИАЛЬНОЕ ОПУБЛИКОВАНИЕ
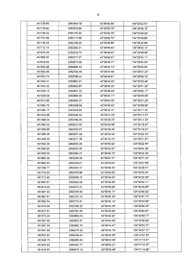
Постановление Администрации Приморского края от 05.03.2018 № 99-па
"О внесении изменений в постановление Администрации Приморского края от 28 сентября 2017 года № 389-па "Об определении территории охотничьих угодий в Приморском крае, в границах которых в целях сохранения охотничьих ресурсов и среды их обитания гражданам не могут быть предоставлены земельные участки в безвозмездное пользование и установлении максимального размера площади таких территорий"
Номер опубликования: 2500201803060002
Дата опубликования: 06.03.2018
Страница №70 из 214:
Увеличить