Официальное опубликование правовых актов
ОФИЦИАЛЬНОЕ ОПУБЛИКОВАНИЕ
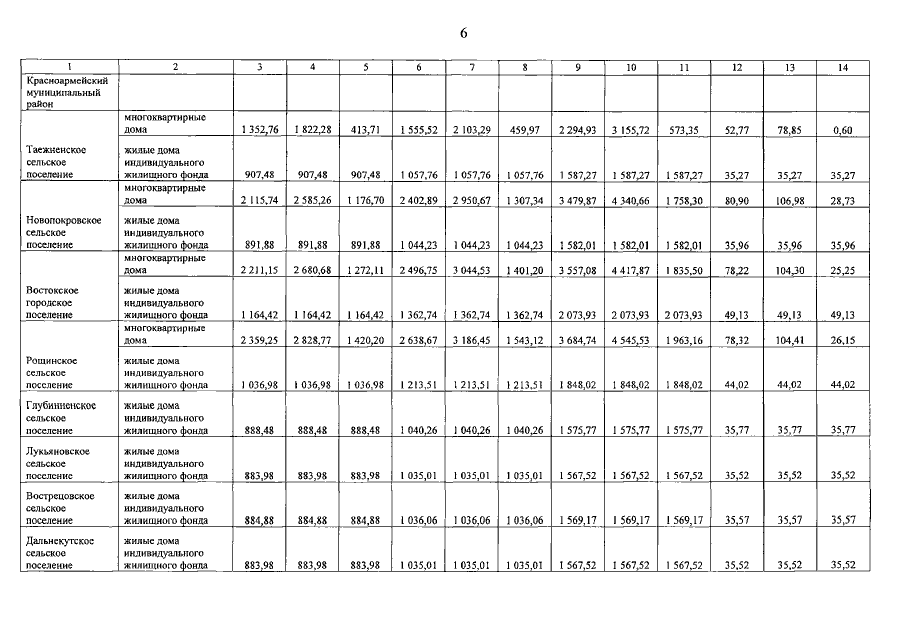
Постановление Администрации Приморского края от 22.11.2017 № 472-па
"О внесении изменений в постановление Администрации Приморского края от 09 февраля 2017 года № 34-па "О региональных стандартах стоимости жилищно-коммунальных услуг на 2017 год"
Номер опубликования: 2500201711220002
Дата опубликования: 22.11.2017
Страница №41 из 56:
Увеличить