Официальное опубликование правовых актов
ОФИЦИАЛЬНОЕ ОПУБЛИКОВАНИЕ
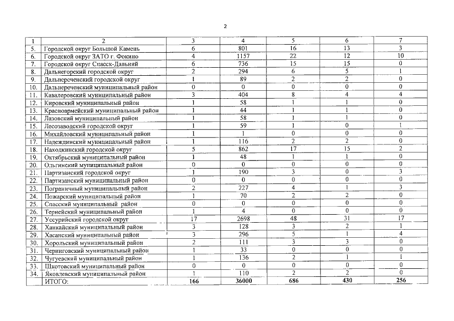
Распоряжение Администрации Приморского края от 10.10.2017 № 431-ра
"Об установлении контрольных показателей администрациям муниципальных образований Приморского края по численности трудоустроенных инвалидов в счет установленной квоты рабочих мест для трудоустройства инвалидов в подведомственных учреждениях, организациях, предприятиях на 2017 - 2018 годы"
Номер опубликования: 2500201710110002
Дата опубликования: 11.10.2017
Страница №7 из 11:
Увеличить