Официальное опубликование правовых актов
ОФИЦИАЛЬНОЕ ОПУБЛИКОВАНИЕ
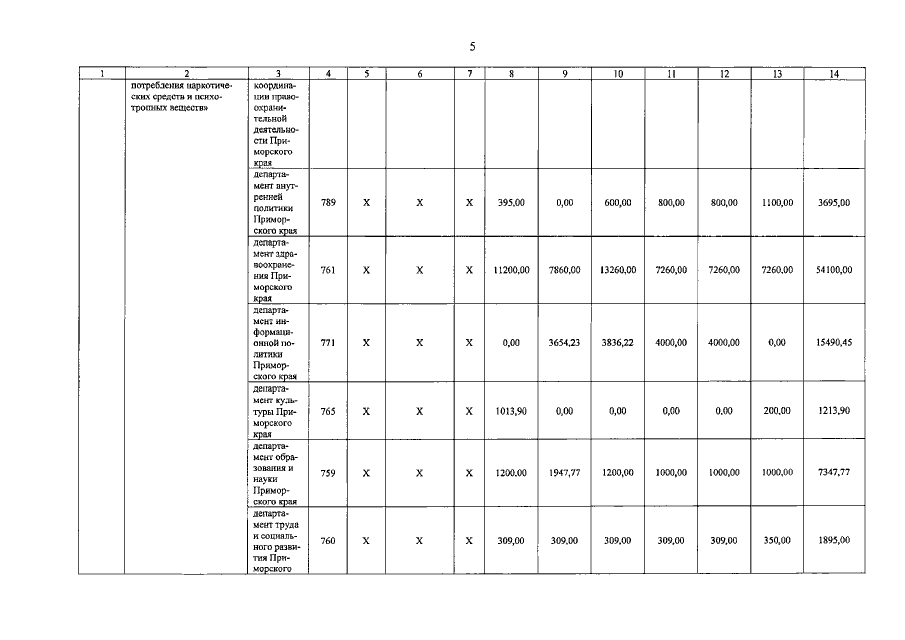
Постановление Администрации Приморского края от 18.09.2017 № 379-па
"О внесении изменений в постановление Администрации Приморского края от 3 декабря 2014 года № 495-па "Об утверждении государственной программы Приморского края "Безопасный край" на 2015-2020 годы"
Номер опубликования: 2500201709190003
Дата опубликования: 19.09.2017
Страница №18 из 92:
Увеличить