Официальное опубликование правовых актов
ОФИЦИАЛЬНОЕ ОПУБЛИКОВАНИЕ
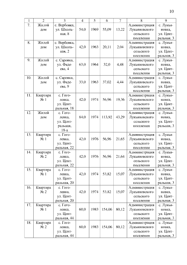
Закон Приморского края от 01.02.2017 № 83-КЗ
"О внесении изменений в Закон Приморского края "О разграничении объектов муниципальной собственности между сельскими поселениями Красноармейского муниципального района и Красноармейским муниципальным районом"
Номер опубликования: 2500201702010003
Дата опубликования: 01.02.2017
Страница №10 из 80:
Увеличить