Официальное опубликование правовых актов
ОФИЦИАЛЬНОЕ ОПУБЛИКОВАНИЕ
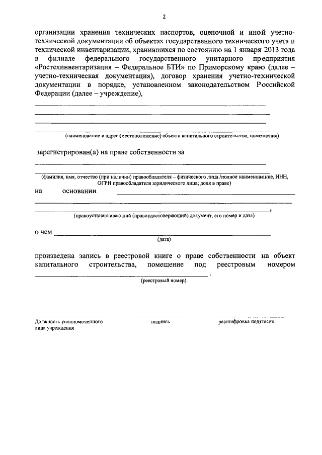
Постановление Администрации Приморского края от 02.11.2016 № 515-па
"О внесении изменений в постановление Администрации Приморского края от 30 сентября 2016 года № 454-па "О мерах по реализации статьи 45 Федерального закона от 24 июля 2007 года № 221-ФЗ "О государственном кадастре недвижимости"
Номер опубликования: 2500201611080002
Дата опубликования: 08.11.2016
Страница №18 из 23:
Увеличить