Официальное опубликование правовых актов
ОФИЦИАЛЬНОЕ ОПУБЛИКОВАНИЕ
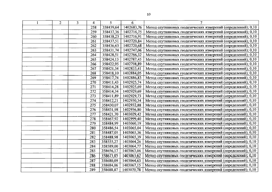
Постановление Администрации Приморского края от 01.11.2016 № 509-па
"Об утверждении границ охранных зон газораспределительных сетей и наложении ограничений (обременений) на входящие в них земельные участки на территории Владивостокского городского округа Приморского края"
Номер опубликования: 2500201611070005
Дата опубликования: 07.11.2016
Страница №12 из 124:
Увеличить