Официальное опубликование правовых актов
ОФИЦИАЛЬНОЕ ОПУБЛИКОВАНИЕ
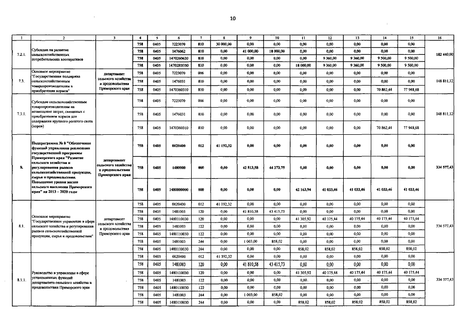
Постановление Администрации Приморского края от 10.10.2016 № 467-па
"О внесении изменений в постановление Администрации Приморского края от 7 декабря 2012 года № 392-па "Об утверждении государственной программы Приморского края "Развитие сельского хозяйства и регулирования рынков сельскохозяйственной продукции, сырья и продовольствия. Повышение уровня жизни сельского населения Приморского края" на 2013 - 2020 годы"
Номер опубликования: 2500201610110006
Дата опубликования: 11.10.2016
Страница №17 из 68:
Увеличить