Официальное опубликование правовых актов
ОФИЦИАЛЬНОЕ ОПУБЛИКОВАНИЕ
Постановление Губернатора Приморского края от 04.10.2016 № 72-пг
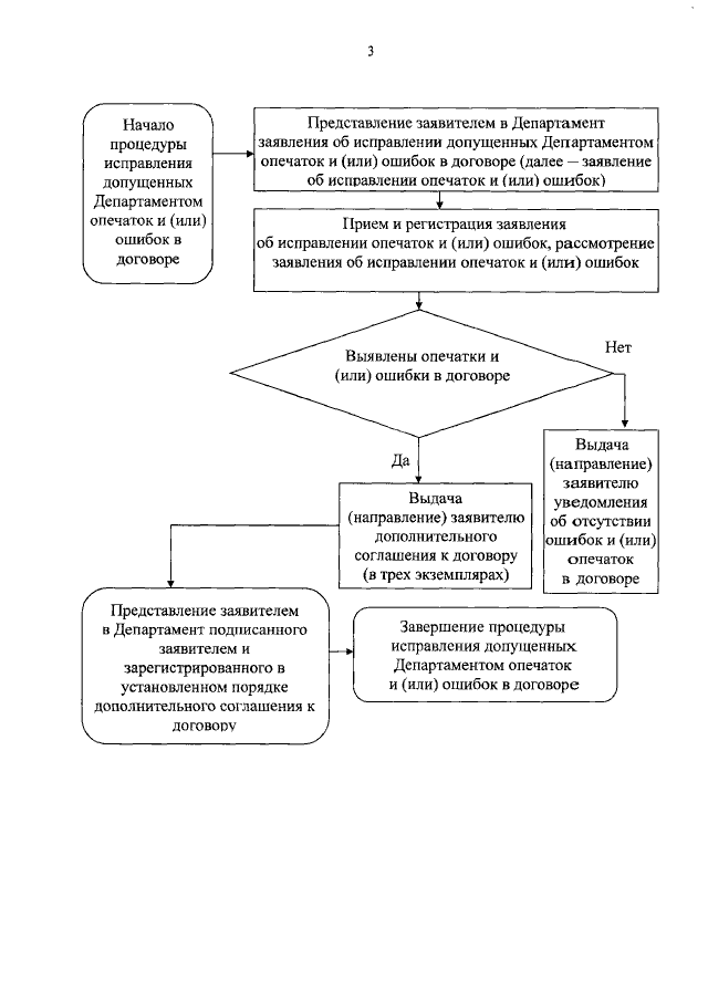
"Об утверждении административного регламента департамента лесного хозяйства Приморского края по предоставлению государственной услуги по организации и проведению аукциона по продаже права на заключение договоров аренды лесных участков"
Номер опубликования: 2500201610100004
Дата опубликования: 10.10.2016
Страница №45 из 45:
Увеличить