Официальное опубликование правовых актов
ОФИЦИАЛЬНОЕ ОПУБЛИКОВАНИЕ
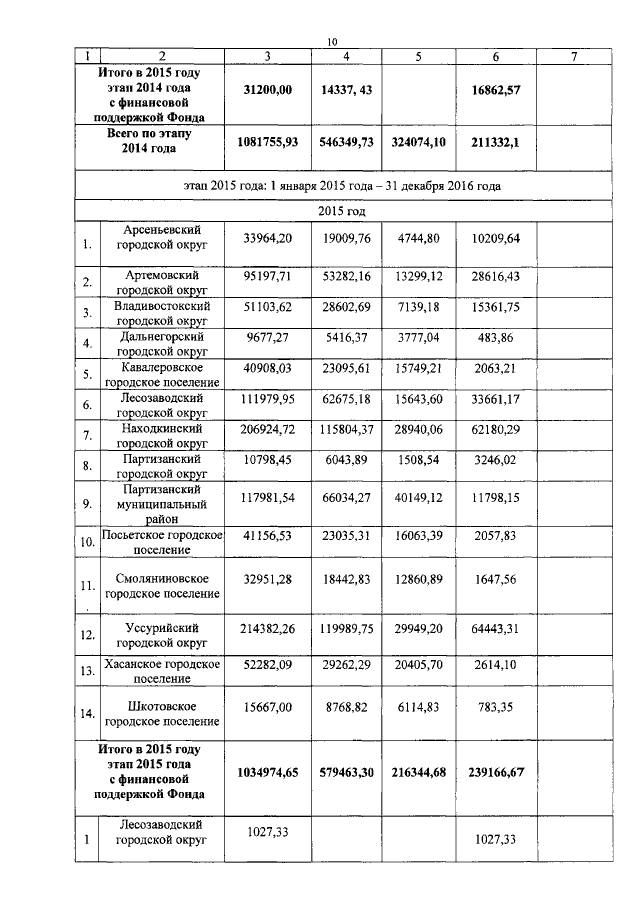
Постановление Администрации Приморского края от 28.07.2016 № 349-па
"О внесении изменений в постановление Администрации Приморского края от 7 декабря 2012 года № 398-па "Об утверждении государственной программы Приморского края "Обеспечение доступным жильем и качественными услугами жилищно-коммунального хозяйства населения Приморского края" на 2013-2020 годы"
Номер опубликования: 2500201607290007
Дата опубликования: 29.07.2016
Страница №10 из 84:
Увеличить