Официальное опубликование правовых актов
ОФИЦИАЛЬНОЕ ОПУБЛИКОВАНИЕ
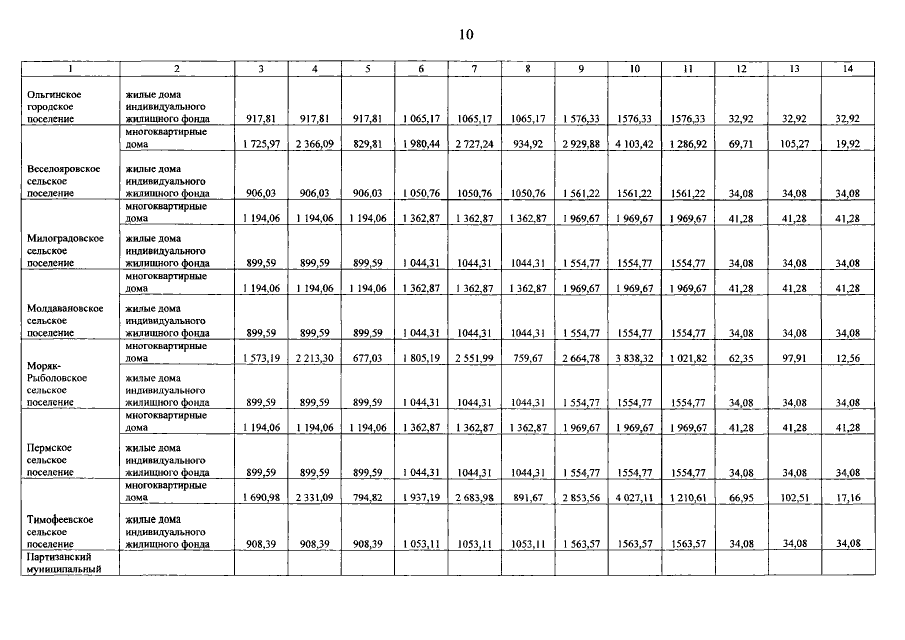
Постановление Администрации Приморского края от 26.07.2016 № 343-па
"О внесении изменений в постановление Администрации Приморского края от 21 марта 2016 года № 102-па "О региональных стандартах стоимости жилищно-коммунальных услуг на 2016 год"
Номер опубликования: 2500201607260003
Дата опубликования: 26.07.2016
Страница №24 из 56:
Увеличить