Официальное опубликование правовых актов
ОФИЦИАЛЬНОЕ ОПУБЛИКОВАНИЕ
Постановление Администрации Приморского края от 25.12.2015 № 521-па
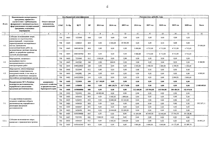
"О внесении изменений в постановление Администрации Приморского края от 07 декабря 2012 года № 392-па "Об утверждении государственной программы Приморского края "Развитие сельского хозяйства и регулирования рынков сельскохозяйственной продукции, сырья и продовольствия. Повышение уровня жизни сельского населения Приморского края" на 2013 - 2020 годы"
Номер опубликования: 2500201512290008
Дата опубликования: 29.12.2015
Страница №99 из 146:
Увеличить