Официальное опубликование правовых актов
ОФИЦИАЛЬНОЕ ОПУБЛИКОВАНИЕ
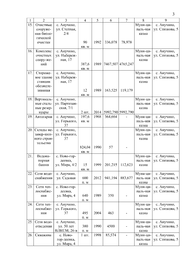
Закон Приморского края от 07.04.2015 № 586-КЗ
"О разграничении объектов муниципальной собственности между сельскими поселениями Анучинского муниципального района и Анучинским муниципальным районом"
Номер опубликования: 2500201504090004
Дата опубликования: 09.04.2015
Страница №5 из 62:
Увеличить