Официальное опубликование правовых актов
ОФИЦИАЛЬНОЕ ОПУБЛИКОВАНИЕ
Приказ министерства образования Красноярского края от 29.05.2025 № 38-11-04
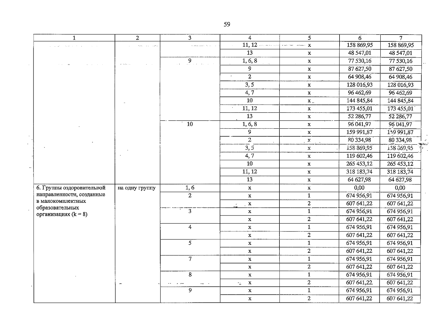
"Об утверждении нормативов обеспечения реализации основных общеобразовательных программ дошкольного образования в муниципальных дошкольных образовательных организациях, расположенных на территории Красноярского края, общедоступного и бесплатного дошкольного образования в муниципальных общеобразовательных организациях, расположенных на территории Красноярского края, в расчете на одного воспитанника (одну группу) и нормативов обеспечения деятельности руководящего, административно-хозяйственного, учебно-вспомогательного персонала, в том числе младших воспитателей (помощников воспитателей), и иных категорий работников образовательных организаций, участвующих в реализации общеобразовательных программ в соответствии с федеральными государственными образовательными стандартами, в расчете на одного воспитанника (одну группу) указанных образовательных организаций"
(Зарегистрирован 29.05.2025 № 830)
Номер опубликования: 2401202506020002
Дата опубликования: 02.06.2025
Страница №192 из 260:
Увеличить