Официальное опубликование правовых актов
ОФИЦИАЛЬНОЕ ОПУБЛИКОВАНИЕ
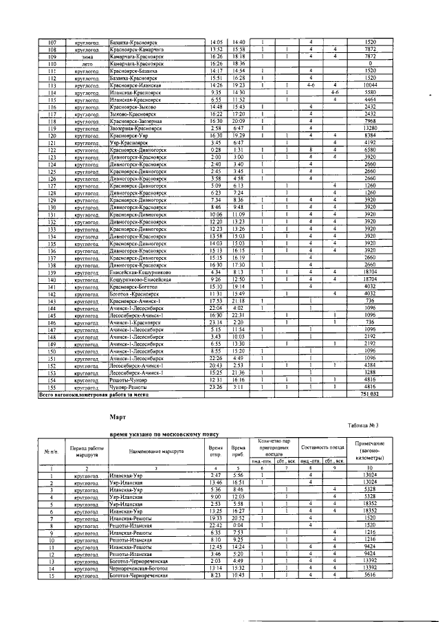
Приказ министерства транспорта Красноярского края от 23.08.2022 № 83-68п
"Об утверждении программы пассажирских перевозок железнодорожным транспортом в пригородном сообщении, субсидируемых из краевого бюджета в 2023 году"
Номер опубликования: 2401202208290001
Дата опубликования: 29.08.2022
Страница №6 из 28:
Увеличить