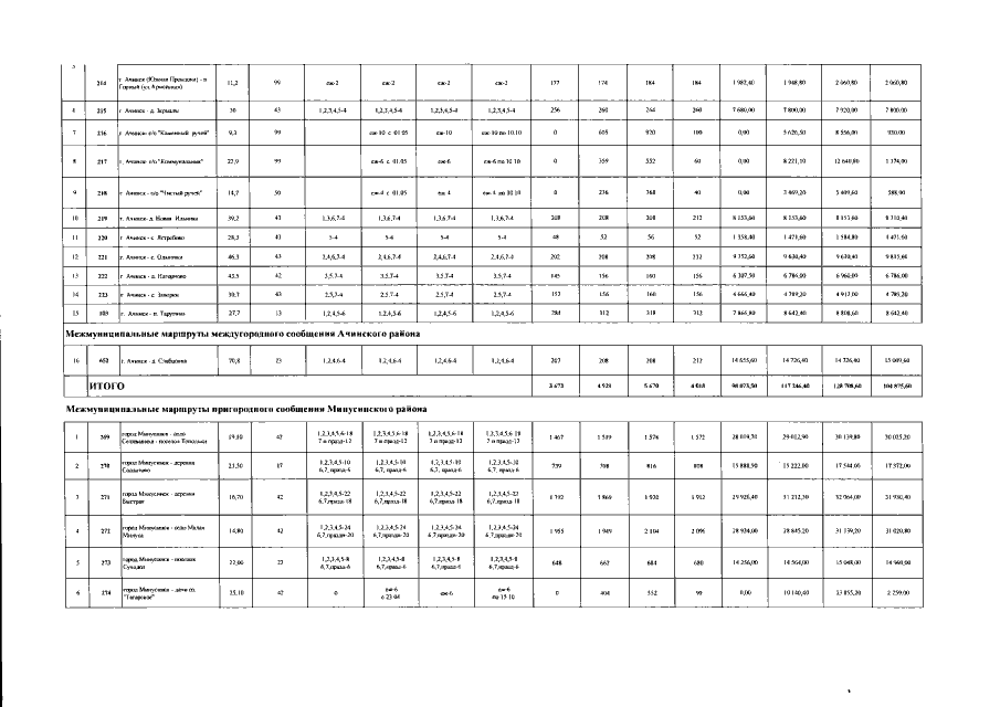
Приказ министерства транспорта Красноярского края от 18.08.2022 № 83-65п
"О внесении изменений в приказ министерства транспорта Красноярского края от 06.12.2021 № 6/71-Н "Об утверждении программы пассажирских перевозок автомобильным транспортом по межмуниципальным маршрутам регулярных перевозок в пригородном и междугородном сообщении, соединяющим населенные пункты, расположенные в границах муниципального района, муниципального округа, с их административными центрами, находящимися на территориях соответствующих городских округов, субсидируемых из краевого бюджета в 2022 году"
"О внесении изменений в приказ министерства транспорта Красноярского края от 06.12.2021 № 6/71-Н "Об утверждении программы пассажирских перевозок автомобильным транспортом по межмуниципальным маршрутам регулярных перевозок в пригородном и междугородном сообщении, соединяющим населенные пункты, расположенные в границах муниципального района, муниципального округа, с их административными центрами, находящимися на территориях соответствующих городских округов, субсидируемых из краевого бюджета в 2022 году"
Номер опубликования: 2401202208230004
Дата опубликования:
23.08.2022
