Официальное опубликование правовых актов
ОФИЦИАЛЬНОЕ ОПУБЛИКОВАНИЕ
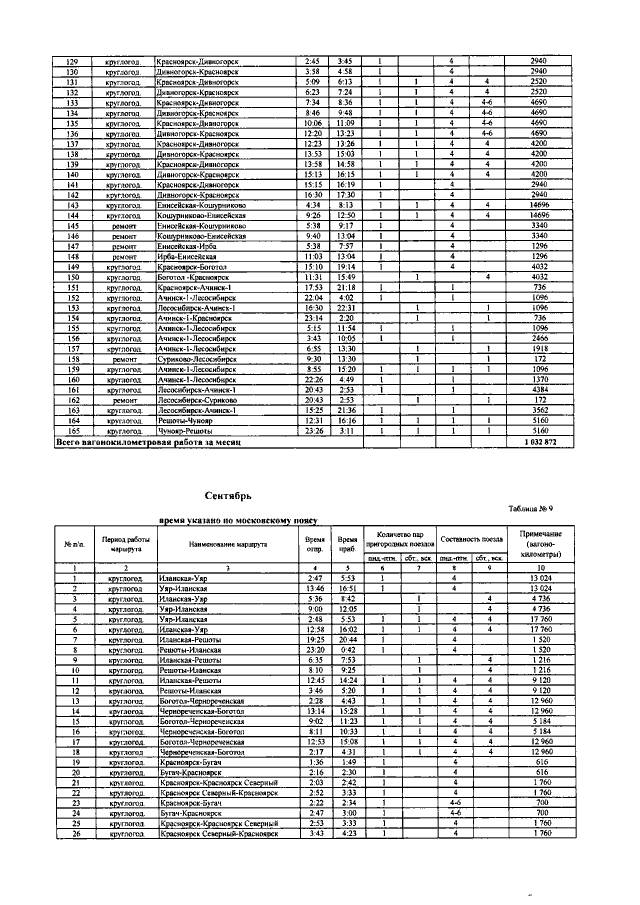
Приказ министерства транспорта Красноярского края от 18.07.2022 № 83-57п
"О внесении изменения в приказ министерства транспорта Красноярского края от 22.10.2021 № 6/61-Н "Об утверждении программы пассажирских перевозок железнодорожным транспортом в пригородном сообщении, субсидируемых из краевого бюджета в 2022 году"
Номер опубликования: 2401202207200003
Дата опубликования: 20.07.2022
Страница №4 из 6:
Увеличить