Приказ министерства транспорта Красноярского края от 01.02.2022 № 83-2п
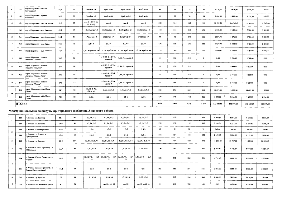
"О внесении изменения в приказ министерства транспорта Красноярского края от 06.12.2021 № 6/71-Н "Об утверждении программы пассажирских перевозок автомобильным транспортом по межмуниципальным маршрутам регулярных перевозок в пригородном и междугородном сообщении, соединяющим поселения, расположенные в границах муниципального района, муниципального округа, с их административными центрами, находящимися на территориях соответствующих городских округов, субсидируемых из краевого бюджета в 2022 году"
"О внесении изменения в приказ министерства транспорта Красноярского края от 06.12.2021 № 6/71-Н "Об утверждении программы пассажирских перевозок автомобильным транспортом по межмуниципальным маршрутам регулярных перевозок в пригородном и междугородном сообщении, соединяющим поселения, расположенные в границах муниципального района, муниципального округа, с их административными центрами, находящимися на территориях соответствующих городских округов, субсидируемых из краевого бюджета в 2022 году"
Номер опубликования: 2401202202080002
Дата опубликования:
08.02.2022
