Приказ министерства транспорта Красноярского края от 30.12.2021 № 6/81-Н
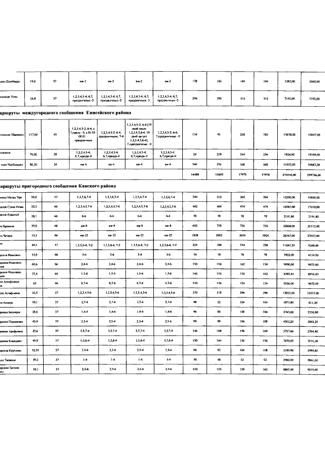
"О внесении изменения в приказ министерства транспорта Красноярского края от 30.11.2020 № 6/59-Н "Об утверждении программы пассажирских перевозок автомобильным транспортом по межмуниципальным маршрутам регулярных перевозок в пригородном и междугородном сообщении, соединяющим поселения, расположенные в границах муниципального района, муниципального округа, с их административными центрами, находящимися на территориях соответствующих городских округов, субсидируемых из краевого бюджета в 2021 году"
"О внесении изменения в приказ министерства транспорта Красноярского края от 30.11.2020 № 6/59-Н "Об утверждении программы пассажирских перевозок автомобильным транспортом по межмуниципальным маршрутам регулярных перевозок в пригородном и междугородном сообщении, соединяющим поселения, расположенные в границах муниципального района, муниципального округа, с их административными центрами, находящимися на территориях соответствующих городских округов, субсидируемых из краевого бюджета в 2021 году"
Номер опубликования: 2401202112310002
Дата опубликования:
31.12.2021
