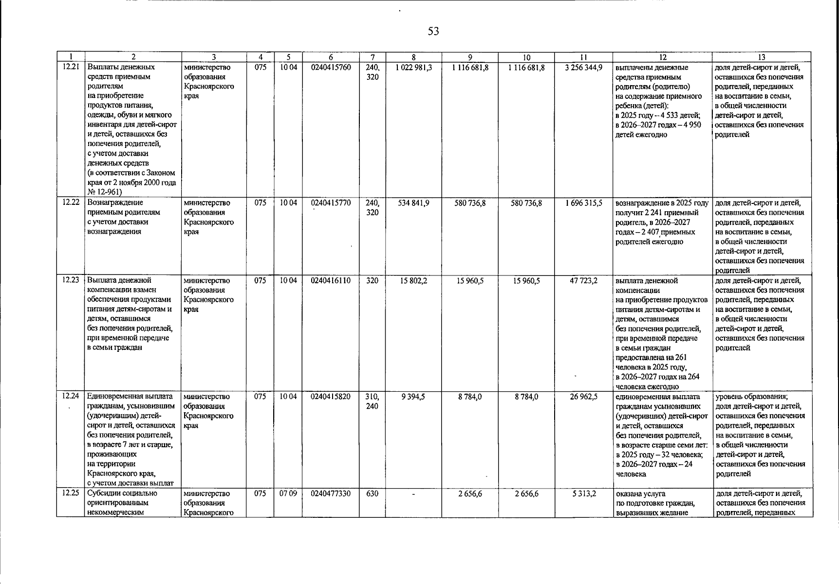
Постановление Правительства Красноярского края от 09.12.2025 № 1124-п
"О внесении изменений в постановление Правительства Красноярского края от 30.09.2013 № 508-п "Об утверждении государственной программы Красноярского края "Развитие образования"
"О внесении изменений в постановление Правительства Красноярского края от 30.09.2013 № 508-п "Об утверждении государственной программы Красноярского края "Развитие образования"
Номер опубликования: 2400202512190002
Дата опубликования:
19.12.2025
