Официальное опубликование правовых актов
ОФИЦИАЛЬНОЕ ОПУБЛИКОВАНИЕ
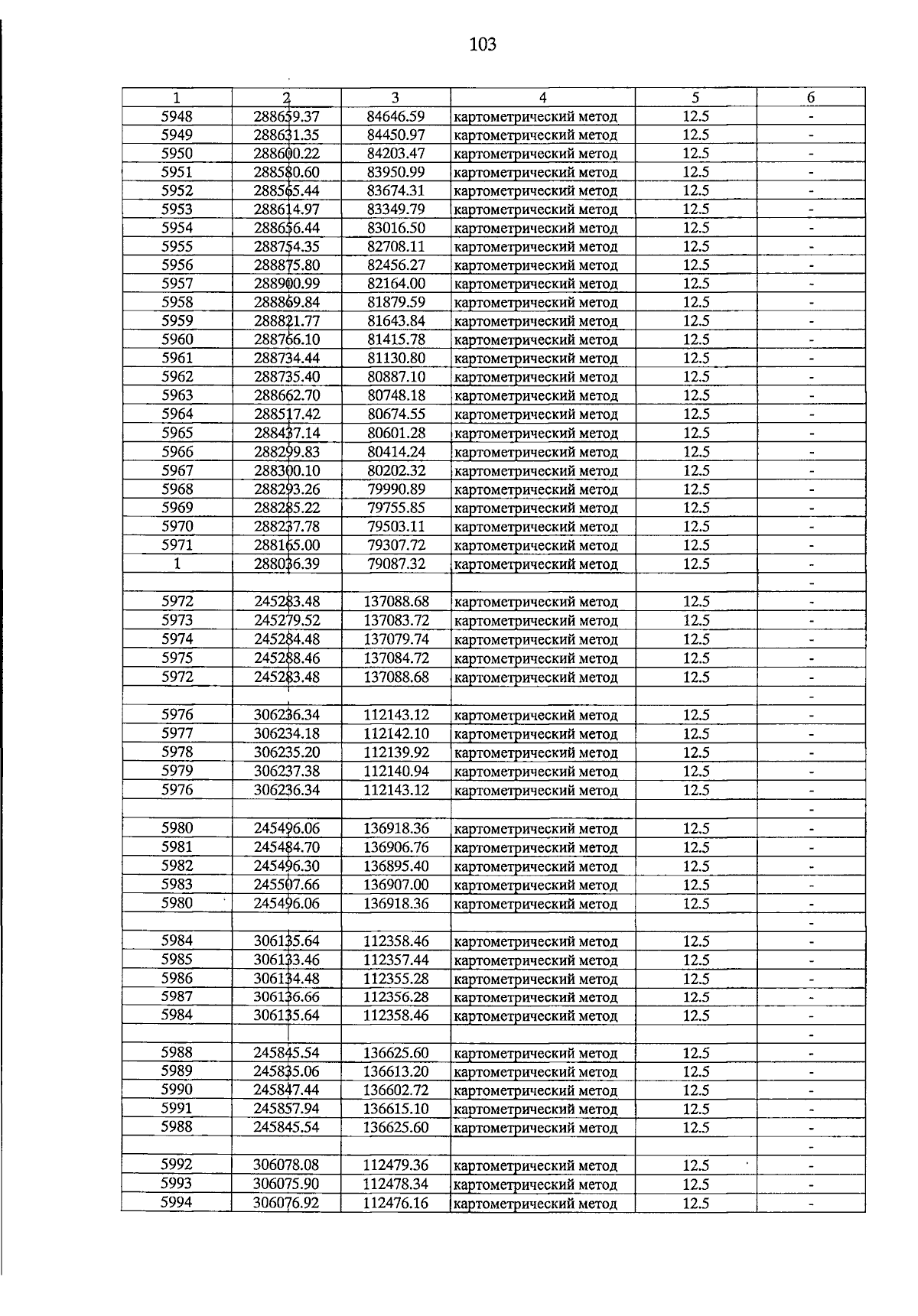
Постановление Правительства Красноярского края от 25.11.2025 № 1052-п
"О внесении изменений в постановление Совета администрации Красноярского края от 04.04.2005 № 107-п "Об образовании особо охраняемой природной территории — природного парка краевого значения "Ергаки"
Номер опубликования: 2400202512020012
Дата опубликования: 02.12.2025
Страница №106 из 387:
Увеличить