Официальное опубликование правовых актов
ОФИЦИАЛЬНОЕ ОПУБЛИКОВАНИЕ
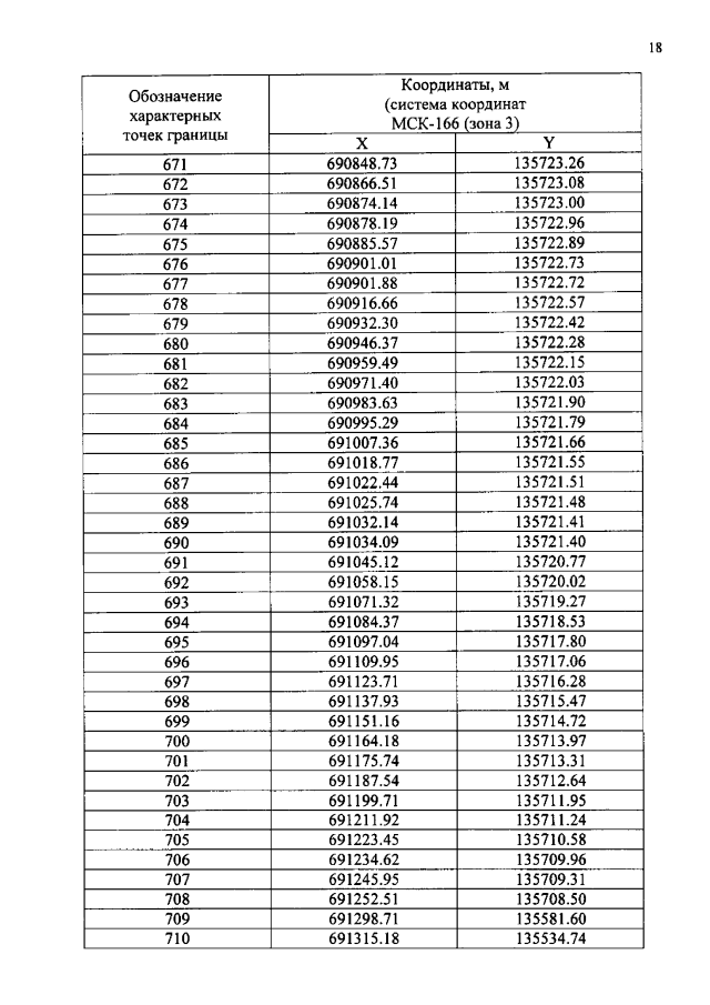
Закон Красноярского края от 26.03.2020 № 9-3766
"О внесении изменений в Закон края "Об утверждении границ г. Ачинска Красноярского края" (принят Законодательным Собранием Красноярского края 26.03.2020, подписан Губернатором Красноярского края 08.04.2020)
Номер опубликования: 2400202004100019
Дата опубликования: 10.04.2020
Страница №20 из 58:
Увеличить