Официальное опубликование правовых актов
ОФИЦИАЛЬНОЕ ОПУБЛИКОВАНИЕ
Постановление Правительства Красноярского края от 08.07.2019 № 349-п
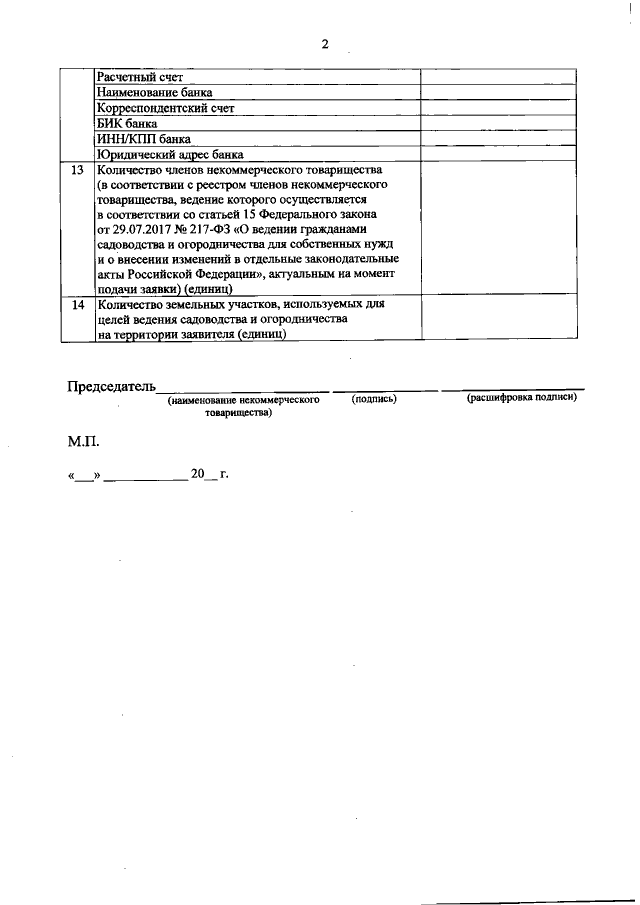
"О внесении изменений в постановление Правительства Красноярского края от 10.08.2017 № 468-п "Об утверждении Порядка и условий предоставления садоводческим, огородническим и дачным некоммерческим объединениям граждан грантов в форме субсидий на реализацию программ развития инфраструктуры территорий указанных некоммерческих объединений, включающих в себя мероприятия по строительству и (или) реконструкции, и (или) ремонту (включая расходы, связанные с разработкой проектной документации, проведением экспертизы проектной документации) подъездных дорог, объектов электросетевого хозяйства, водоснабжения в пределах территории соответствующего некоммерческого объединения для обеспечения его потребностей в электроснабжении, водоснабжении, дорогах, в том числе порядка и условий проведения конкурсных отборов некоммерческих объединений, включая критерии их оценки, требования к содержанию программ, а также порядка возврата в краевой бюджет средств гранта в случае нарушения условий их предоставления"
Номер опубликования: 2400201907150001
Дата опубликования: 15.07.2019
Страница №25 из 42:
Увеличить