Официальное опубликование правовых актов
ОФИЦИАЛЬНОЕ ОПУБЛИКОВАНИЕ
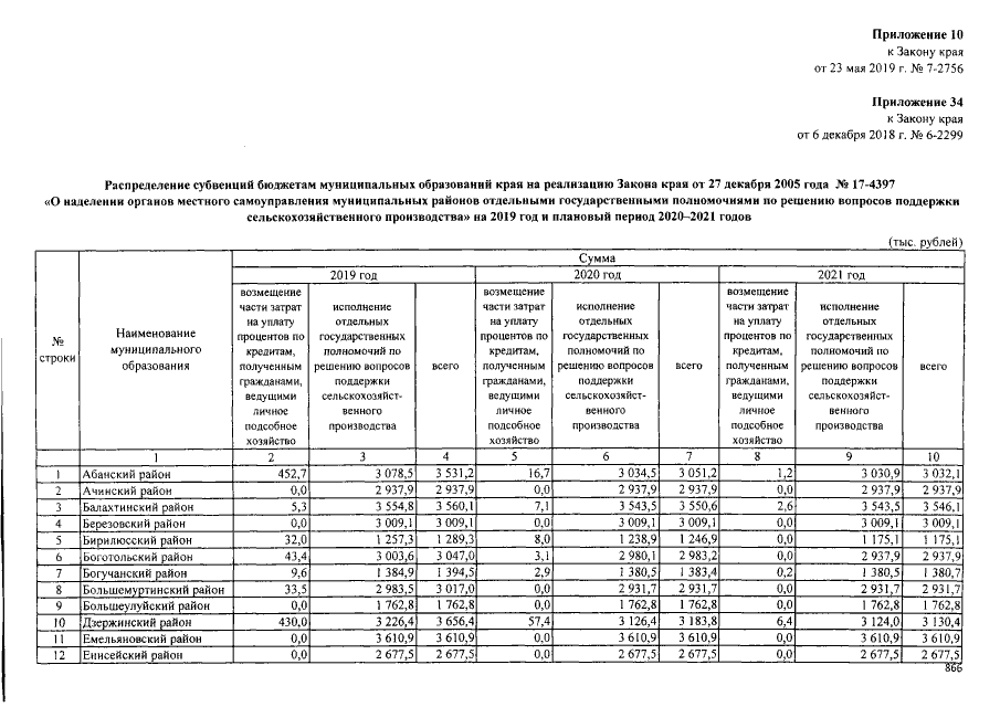
Закон Красноярского края от 23.05.2019 № 7-2756
"О внесении изменений в Закон края "О краевом бюджете на 2019 год и плановый период 2020–2021 годов" (принят Законодательным Собранием Красноярского края 23.05.2019, подписан Губернатором Красноярского края 04.06.2019)
Номер опубликования: 2400201906070001
Дата опубликования: 07.06.2019
Страница №866 из 902:
Увеличить