Официальное опубликование правовых актов
ОФИЦИАЛЬНОЕ ОПУБЛИКОВАНИЕ
Постановление Правительства Красноярского края от 06.04.2018 № 165-п
"О внесении изменений в постановление Правительства Красноярского края от 29.05.2014 № 217-п "Об утверждении Порядка расчета нормативов обеспечения реализации основных и дополнительных общеобразовательных программ в расчете на одного обучающегося (один класс, класс-комплект) муниципальных общеобразовательных организаций, расположенных на территории Красноярского края, нормативов обеспечения реализации основных и дополнительных общеобразовательных программ в расчете на одного обучающегося (один класс, класс-комплект) и нормативов обеспечения деятельности административно-хозяйственного, учебно-вспомогательного персонала и иных категорий работников образовательных организаций, участвующих в реализации общеобразовательных программ в соответствии с федеральными государственными образовательными стандартами, в расчете на одного обучающегося муниципальных общеобразовательных организаций, расположенных на территории Красноярского края, и Порядка предоставления и расходования субвенций бюджетам муниципальных районов и городских округов Красноярского края на обеспечение государственных гарантий реализации прав на получение общедоступного и бесплатного начального общего, основного общего, среднего общего образования в муниципальных общеобразовательных организациях, расположенных на территории Красноярского края, обеспечение дополнительного образования детей в муниципальных общеобразовательных организациях, расположенных на территории Красноярского края"
Номер опубликования: 2400201804170001
Дата опубликования: 17.04.2018
Страница №29 из 66:
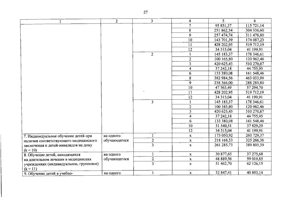
Увеличить