Официальное опубликование правовых актов
ОФИЦИАЛЬНОЕ ОПУБЛИКОВАНИЕ
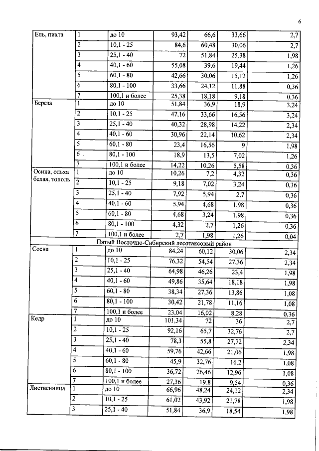
Закон Красноярского края от 30.11.2017 № 4-1177
"О внесении изменений в Закон края "О заготовке древесины на основании договоров купли-продажи лесных насаждений" (принят Законодательным Собранием Красноярского края 30.11.2017, подписан Губернатором Красноярского края 11.12.2017)
Номер опубликования: 2400201712180002
Дата опубликования: 18.12.2017
Страница №6 из 11:
Увеличить