Официальное опубликование правовых актов
ОФИЦИАЛЬНОЕ ОПУБЛИКОВАНИЕ
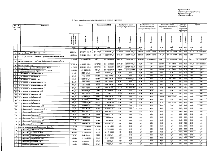
Постановление Правительства Красноярского края от 28.09.2017 № 576-п
"О внесении изменений в постановление Правительства Красноярского края от 06.05.2013 № 228-п "Об утверждении региональных адресных программ по переселению граждан из аварийного жилищного фонда в Красноярском крае на 2013-2017 годы"
Номер опубликования: 2400201710060001
Дата опубликования: 06.10.2017
Страница №29 из 62:
Увеличить