Официальное опубликование правовых актов
ОФИЦИАЛЬНОЕ ОПУБЛИКОВАНИЕ
Постановление Правительства Красноярского края от 03.08.2017 № 453-п
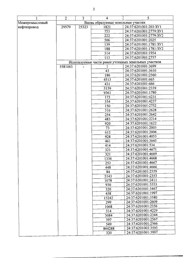
"Об утверждении документации по планировке территории для размещения линейного объекта регионального значения "Межпромысловый нефтепровод "УПН "Сузун" – ЦПС Ванкорского месторождения" с СИКН "Ванкор" в рамках мероприятия по освоению Сузунского нефтегазового месторождения"
Номер опубликования: 2400201708090003
Дата опубликования: 09.08.2017
Страница №14 из 16:
Увеличить