Официальное опубликование правовых актов
ОФИЦИАЛЬНОЕ ОПУБЛИКОВАНИЕ
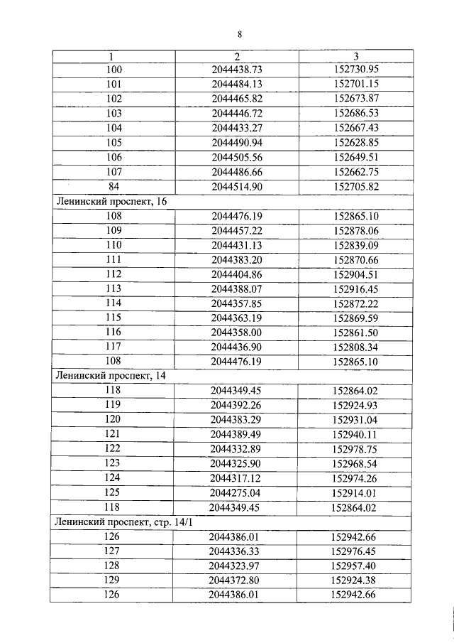
Постановление Правительства Красноярского края от 18.07.2017 № 406-п
"Об утверждении границ зон охраны объектов культурного наследия регионального значения, расположенных в г. Норильске, особых режимов использования земель и требований к градостроительным регламентам в границах данных зон охраны"
Номер опубликования: 2400201707240005
Дата опубликования: 24.07.2017
Страница №9 из 34:
Увеличить