Официальное опубликование правовых актов
ОФИЦИАЛЬНОЕ ОПУБЛИКОВАНИЕ
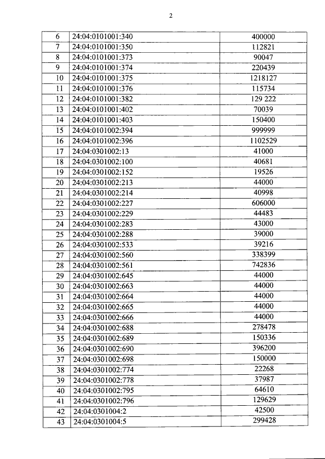
Постановление Правительства Красноярского края от 16.03.2017 № 142-п
"О внесении изменений в постановление Правительства Красноярского края от 07.10.2010 № 496-п "Об утверждении Перечня особо ценных продуктивных сельскохозяйственных угодий, использование которых для других целей не допускается"
Номер опубликования: 2400201703200010
Дата опубликования: 20.03.2017
Страница №2 из 8:
Увеличить