Официальное опубликование правовых актов
ОФИЦИАЛЬНОЕ ОПУБЛИКОВАНИЕ
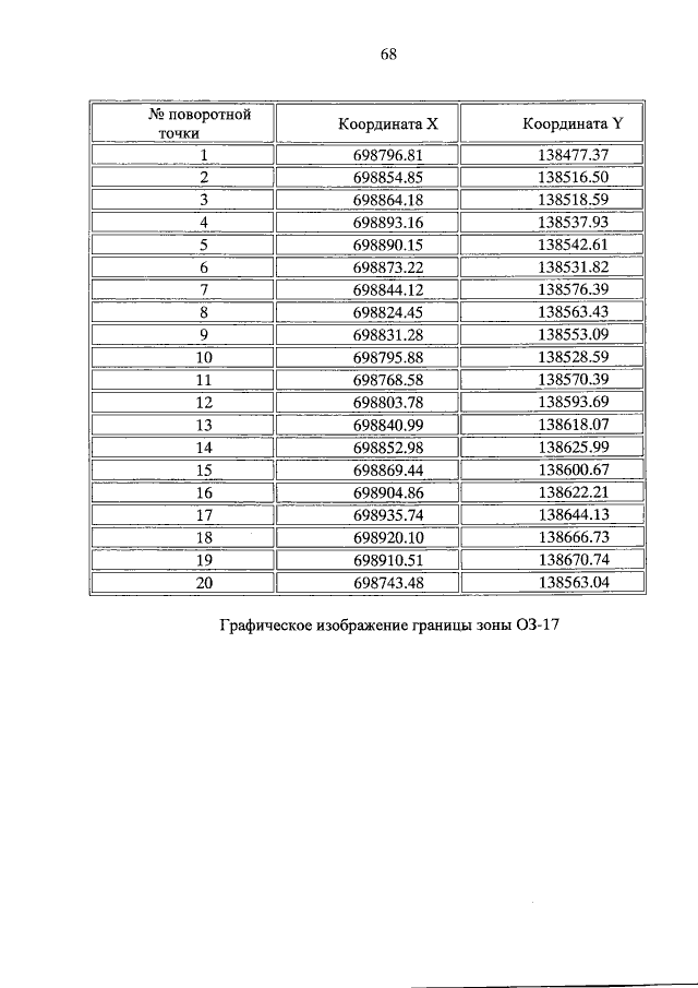
Постановление Правительства Красноярского края от 27.12.2016 № 678-п
"Об утверждении границ зон охраны объектов культурного наследия федерального и регионального значения, расположенных в городе Ачинске, режимов использования земель и требований к градостроительным регламентам в границах данных зон охраны"
Номер опубликования: 2400201612300028
Дата опубликования: 30.12.2016
Страница №69 из 122:
Увеличить