Официальное опубликование правовых актов
ОФИЦИАЛЬНОЕ ОПУБЛИКОВАНИЕ
Постановление Правительства Красноярского края от 14.12.2016 № 640-п
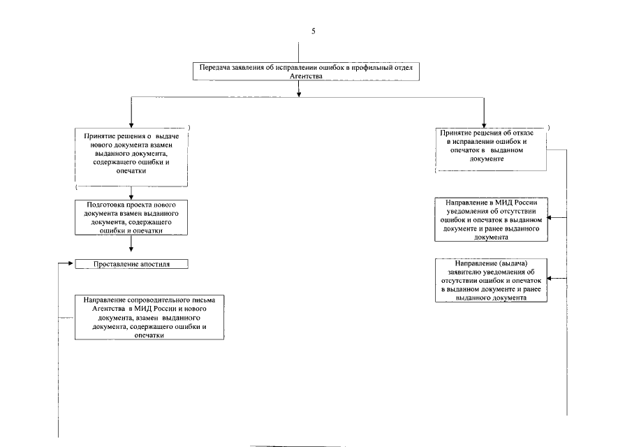
"О внесении изменений в постановление Правительства Красноярского края от 30.04.2015 № 206-п "Об утверждении Административного регламента предоставления архивным агентством Красноярского края государственной услуги по организации исполнения запросов российских и иностранных граждан, а также лиц без гражданства, и заверению апостилем архивных справок, архивных выписок и архивных копий, направляемых в государства, подписавшие Гаагскую конвенцию 1961 года"
Номер опубликования: 2400201612220003
Дата опубликования: 22.12.2016
Страница №21 из 22:
Увеличить