Официальное опубликование правовых актов
ОФИЦИАЛЬНОЕ ОПУБЛИКОВАНИЕ
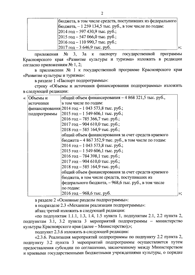
Постановление Правительства Красноярского края от 14.12.2016 № 633-п
"О внесении изменений в постановление Правительства Красноярского края от 30.09.2013 № 511-п "Об утверждении государственной программы Красноярского края "Развитие культуры и туризма"
Номер опубликования: 2400201612190011
Дата опубликования: 19.12.2016
Страница №2 из 65:
Увеличить