Официальное опубликование правовых актов
ОФИЦИАЛЬНОЕ ОПУБЛИКОВАНИЕ
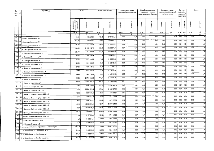
Постановление Правительства Красноярского края от 29.08.2016 № 429-п
"О внесении изменений в постановление Правительства Красноярского края от 06.05.2013 № 228-п "Об утверждении региональных адресных программ по переселению граждан из аварийного жилищного фонда в Красноярском крае на 2013–2017 годы"
Номер опубликования: 2400201609060004
Дата опубликования: 06.09.2016
Страница №37 из 65:
Увеличить