Официальное опубликование правовых актов
ОФИЦИАЛЬНОЕ ОПУБЛИКОВАНИЕ
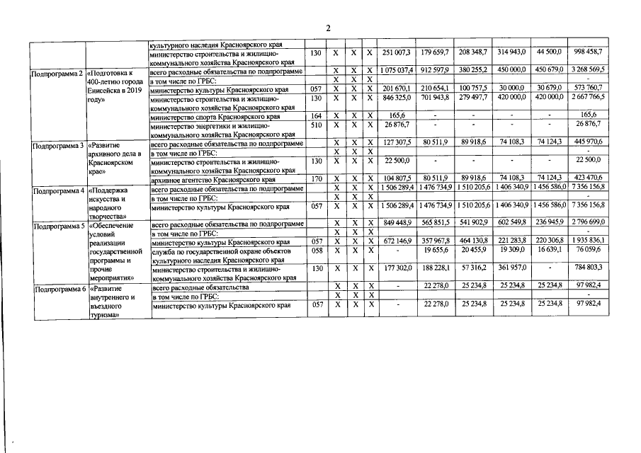
Постановление Правительства Красноярского края от 18.08.2016 № 421-п
"О внесении изменений в постановление Правительства Красноярского края от 30.09.2013 № 511-п "Об утверждении государственной программы Красноярского края "Развитие культуры и туризма"
Номер опубликования: 2400201608260001
Дата опубликования: 26.08.2016
Страница №47 из 49:
Увеличить